
Special Issues
A review article that summarizes the successful sample preparation strategies that have led to some of the highest peptide and protein identification rates reported in the literature

Special Issues
A review article that summarizes the successful sample preparation strategies that have led to some of the highest peptide and protein identification rates reported in the literature

Special Issues
A focused outlook on how laboratory mass spectrometry techniques will fare this year compared to 2012.

Special Issues
We present a brief review of this year's ASMS conference, which took place June 9–13, 2013, in Minneapolis, Minnesota.

Special Issues
This article compares results from samples prepared and analyzed according to EPA Method 1613B on a sector instrument with those from a high-resolution, accurate mass TOF mass spectrometer and a low-resolution TOF mass spectrometer interfaced to a comprehensive two-dimensional gas chromatography (GC) system (GC?C–TOF-MS).

Special Issues
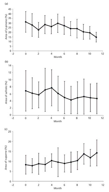
A look at how the concentration of essential oils in cedar leaves is affected by changes in temperature and the amount of rainfall

Special Issues
The use of electrospray ionization–mass spectrometry for rapid and specific determination of the widely used metal deactivators Irgamet-30 and Irgamet-39 is demonstrated here.

Special Issues
An analytical method for the global profiling of molecular lipids in biological samples, with particular emphasis on the plasmalogen lipids, is described.

Special Issues
Click the title above to open the July 2013 issue of Current Trends in Mass Spectrometry, Volume 11, Number 3, in an interactive PDF format.