
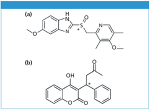
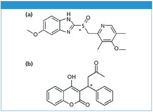
Projects in drug discovery and safety constantly aim at development of novel and safer drugs, therapeutics, and diagnostics. During active pharmaceutical ingredient (API) development, drug stereoisomerism is recognized as an issue having clinical and regulatory implications. Enantiomers have essentially identical physical and chemical properties, while potentially showing large differences in toxicity.

