
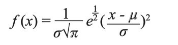
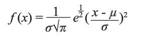
Explore the importance of robust statistics like median and MAD in data analysis, ensuring accurate insights despite outliers and variability.

Bob W. J. Pirok is an assistant professor of analytical chemistry at the Van ‘t Hoff Institute for Molecular Science (HIMS) at the University of Amsterdam. Direct correspondence to: B.W.J.Pirok@uva.nl

Explore the importance of robust statistics like median and MAD in data analysis, ensuring accurate insights despite outliers and variability.

In chromatographic analysis, the number of repeated measurements is often limited due to time, cost, and sample availability constraints. It is therefore not uncommon for chromatographers to do a single measurement.

Separation and Characterization of Macromolecules 11 (SCM-11) will take place from 22–24 January 2025 in Amsterdam, The Netherlands.

Separation and Characterization of Macromolecules 11 (SCM-11) will take place from 22–24 January 2025 in Amsterdam, The Netherlands.

In this installment, we establish why peak integration still poses challenges, and at the same time, see some of the computational techniques in action that we learn to use ourselves in future installments.

This article examinations the determination of retention time and why it's important.

The authors explore computer-aided workflows and machine learning, aimed at optimizing LC parameters, focusing on kinetic and thermodynamic aspects, and proposes closed-loop optimization strategies.

This review examines different workflows that have been designed and used to facilitate and/or automate method development in liquid chromatography (LC).

On March 21, 2023, Peter Schoenmakers and Emanuela Gionfriddo received the LCGC Lifetime Achievement and the LCGC Emerging Leader in Chromatography Awards, respectively, in a symposium at Pittcon 2023 in Philadelphia. Talks in the session highlighted the awardees’ achievements, discussed recent advances in the development of analytical techniques, and addressed current challenges.
![[1]L.jpg](https://cdn.sanity.io/images/0vv8moc6/chroma/2ca2ff2694c34a129d7ae348d24f6041f6ff9fdf-500x129.jpg?w=350&fit=crop&auto=format)
To address the quest for greater separation power, the chromatographic community developed comprehensive two-dimensional liquid chromatography (LCxLC). But even with LCxLC, it can still be challenging to analyze highly complex samples and obtain accurate and correct information. In this article, opportunities for optimizing methods for extracting maximum information from one-dimensional (1D)-LC and two-dimensional (2D)-LC chromatographic data are explained.

Published: December 1st 2023 | Updated:

Published: April 7th 2025 | Updated:

Published: June 10th 2024 | Updated:

Published: April 5th 2024 | Updated:
![[1]L.jpg](https://cdn.sanity.io/images/0vv8moc6/chroma/2ca2ff2694c34a129d7ae348d24f6041f6ff9fdf-500x129.jpg?w=300&fit=crop&auto=format)
Published: June 2nd 2020 | Updated:

Published: March 21st 2023 | Updated: