
Pressure tuning makes it easy to change the orthogonality in the 2D space.

Pressure tuning makes it easy to change the orthogonality in the 2D space.

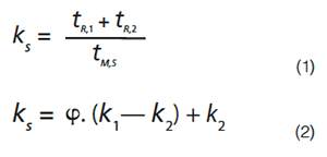
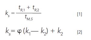
Comprehensive two-dimensional gas chromatography (GC×GC) offers significant improvement for volatile chemical separation. Selecting suitable first (1D) and second dimension (2D) columns normally requires consideration of the chemical composition of a sample. Replacing one of these dimensions with a two-column ensemble (for example, 1D1 + 1D2 for the 1D column), provided with a pressure tuning makeup gas between them, varies the relative retentions of compounds before the modulation step according to the junction pressure. This makes it possible to alter the apparent polarity of the 1D ensemble, and this alters peak positions in the 2D GC×GC space. This article presents an account of studies that suggest this offers potential for improved operation for a GC×GC laboratory.

Published: August 1st 2018 | Updated:

Published: March 1st 2019 | Updated: