Roberto Romero

Articles by Roberto Romero

i28-96613-1408713130840.jpg

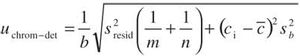
This article establishes the estimation of the uncertainty associated with the chromatographic determination of biogenic amines. The authors identify and estimate each source of uncertainty to establish the accuracy of results and to obtain a better understanding of the method. Thus, measurement uncertainty was split into two sections: uncertainty related to the working conditions, which considers the equipment used, and inherent uncertainty, which includes the chemical stages indicated in the procedure as well as calibration sources, taking into account the existence of the matrix effect. Recovery studies also were made to quantify the contribution of bias to the overall uncertainty. This parameter was calculated for the determination of biogenic amines in different types of samples.