Articles by Dawn Wallace Watson

It is often possible to achieve better sensitivity and lower limits of detection and quantitation using standard gas chromatography instrumentation. Paying attention to fundamental variables-like sample solvent, initial oven
temperature hold, carrier gas operating mode, and thermal gradients- can lead to much improved method performance.

The elution mechanisms for gradient and isocratic HPLC are fundamentally different from each other. Here is what you should understand about both.

We look at a process that can overcome the shortcomings associated with liquid–liquid extraction.

To extend the life of your GC columns, follow these best practices.

With autosamplers, we need to be extra careful to avoid contamination.

Good maintenance of the GC inlet can prevent a host of problems fromcompromising the quality of your results.

Ligands capable of undergoing electrostatic interactions can add an extra dimension to separations of ionizable compounds.

Parameters such as pore size, column dimensions, temperature, flow rate, and mobile phase are important to consider when developing SEC methods.

Five tips to help you get the most out of your LC–MS instruments and methods

The fundamental principles of ion-exchange solid-phase extraction

A common challenge in LLE is the formation of emulsions. Several approaches can address the problem. Or, one can try an alternative technique.

Tips for effective use of chromatography and mass spectrometry for the analysis of antibody–drug conjugates, glycoengineered proteins, and biosimilars.

These five tips could improve your for gas chromatography methods.

Identifying Post-Translational Modifications in Monoclonal Antibodies Analyzing post-translational modifications-such as glycosylation, oxidation,
and deamidation-at different levels can reveal different types of information.

A quick step-by-step guide for optimizing GC temperature programming.

Get the most from your method by considering what you want it to do and setting appropriate chromatographic parameters.

Improve your analysis of ionizable analytes with these hints and tips.

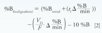
What is required to optimize a gradient elution HPLC method?

HIC analysis is carried out using a reversed salt gradient, starting with a high salt concentration and moving to low salt concentration to facilitate protein elution.

Improve results by optimizing the injection, column, and detection.

The most prominent advantage of using nitrogen as a carrier gas is that it is the most efficient one when used at its optimum linear velocity.

Tips and tricks to help you recognize and solve the most common SPE problems.

How to optimize the key variables in LC–MS analysis

Five simple pictures that reveal problems with your GC analysis – and how to fix them!

Five simple pictures that reveal problems with your GC analysis – and how to fix them!

A practical step-by-step guide to setting up an HPLC instrument with hints and tips to avoid common pitfalls.

How to optimize the key variables in HPLC analysis-sample preparation and column selection

How to optimize the key variables in GC analysis–GC columns and detectors

In this article our technical expert, Dr. Dawn Watson, will cover the polarity of the stationary phase, the column length, internal diameter, thickness of the stationary phase film and the required upper operating temperature.

How to optimize the key variables in GC analysis – sample introduction