
- Recent Developments in HPLC and UHPLC
- Volume 40
- Issue s6
- Pages: 9–22
An Assessment of Stationary Phase Selectivity in SFC
Sustainability concerns are renewing interest in SFC, often as a substitute for HPLC. With the broader application of SFC, we need a better understanding of selectivity in SFC, where stationary phase classification is not well established. This study assessed and measured the selectivity differences afforded by three prototype SFC phases.
Supercritical fluid chromatography (SFC) has seen a recent resurgence in interest following investment in the development of instrument technology by numerous instrument manufacturers. Increased focus on sustainability in chromatographic science, coupled with the orthogonality to reversed phase HPLC, is likely to further drive the uptake of SFC in many sectors. As with any form of chromatography, optimizing separation selectivity is a key variable in providing adequate resolution and accurate identification and quantification of target analytes. Stationary phase chemistry can be readily exploited to substantially alter the separation selectivity obtained. This article examines and characterizes the selectivity differences offered by three prototype SFC phases.
A supercritical fluid is a substance which exists above its critical temperature and critical pressure (Figure 1). It has a range of physical properties that are intermediate between gases and liquids; however, these properties can be varied in accordance with the pressure-temperature phase space. One of the major advantages of a supercritical fluid is that there are no phase transitions, as are observed between gaseous, liquid, and solid states. Phase transitions involve large enthalpy changes, and can have substantial physical impact on the column packed bed structure.
The history of supercritical fluid chromatography (SFC, see Table I) began in the 1800s when the supercritical state was characterized for CO2 by Andrews (1). It was, however, James Lovelock who first suggested in 1958 the use of supercritical CO2 as a chromatographic mobile phase at an international gas chromatography meeting. Just as the Nobel Prize-winning inventors of liquid-liquid partition chromatography, Martin and Synge, had proposed that the mobile phase could also be a gas, Lovelock realized the high liquid-like density, high gas-like diffusivity and low viscosity of fluids above the critical point would extend both gas chromatography (GC) and liquid chromatography (LC). In confirmation, packed-column SFC was demonstrated in 1962 (3), and then quickly developed throughout the 1960s with new detection and pressure programming methods.
It was the introduction of SFC capillary columns, invented by Novotny and Lee in 1981 (8), that led to an exponential growth in SFC applications. However, the practicalities of capillary SFC, similar to the challenges associated with capillary high-performance liquid chromatography (HPLC), reduced the applicability of the technology. The recent revival in SFC has been driven by the introduction of analytically scaled packed columns, together with improved instrumentation offering greater reliability and reproducibility.
SFC has found niche application areas, such as chiral chromatography, although the benefits associated with the technology have never been strong enough to displace HPLC. The uptake of SFC in the niche areas has persuaded mainstream manufacturers to develop the technology, and now many leading manufacturers have offerings. This has increased the visibility of the technology and of its utilization by end users, though the greatest challenge associated with the large-scale use of the technology is still the dominance of HPLC for the separation of small and large pharmaceutical molecules.
Recent industrial focus on sustainability has renewed interest in switching to SFC from HPLC. The use of organic solvents in HPLC has substantial detrimental environmental impact, and although the primary mobile phase used in SFC is CO2, which, albeit a greenhouse gas, is still substantially preferable to organic solvents such as methanol, acetonitrile, and tetrahydrofuran. It is anticipated that the drive for a more sustainable chromatographic solution will provide an impetus to increase the use of SFC within industry. This renewed interest has, in turn, started to highlight some of the other benefits associated with the use of supercritical fluids. One of the major advantages is the ability to radically change the physical properties of the mobile phase without undergoing a phase transition. This can be either due to the large parameter space that a supercritical fluid occupies (10), or because moving through a supercritical fluid state offers the opportunities to move from a gaseous state to a liquid without a phase transition.
Supercritical CO2 is non-polar, therefore a co-solvent, typically methanol, is used (up to 40% v/v) to increase the solvating capacity of the mobile phase, which enables the analysis of compounds with logP values in the range of -1 to 10 (9). The low viscosity of such compositions and enhanced analyte diffusion means that elevated flow rates can be used compared to HPLC to achieve high resolution, high-throughput analyses (11). The use of higher percentages of the co-solvent (for example, >50%), along with additional polar components such as water, can further extend the use of SFC to more polar compounds including endogenous metabolites, plant extracts, water-soluble vitamins, pesticides, sugars, and peptides (9,12). Given the wide potential applicability of modern SFC, an understanding of how to optimize the separation selectivity using a variety of instrumental parameters is clearly important for addressing the plethora of complex applications that can now be addressed.
Selectivity in Liquid Chromatography
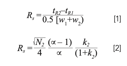
The fundamental aim of any form of chromatography is to resolve analyte peaks of interest, thus enabling their accurate determination and quantification. It is therefore necessary to understand how chromatographic parameters can be adjusted to maximize resolution. Resolution between two peaks is defined according to equation 1, where tR is the analyte retention time and w, the peak width at the peak base. From this, the Purnell equation (2) can be derived, which describes how resolution is impacted by a combination of three factors: the number of theoretical plates (N), retention factor (k) and selectivity (α).
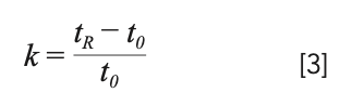
N can be increased by either increasing the column length or decreasing the particle size; k is a measure of analyte retention, and is defined by equation 3, where tR is the retention time of the analyte and t0 is the column dead time. Decreasing the mobile phase elution strength or providing stronger analyte interaction with the stationary phase will increase k.
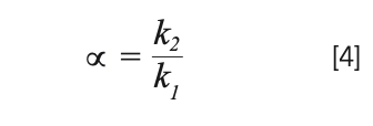
The selectivity (α) of the separation is the ratio of the retention factors of two adjacent peaks (equation 4) and a measure of how well the peaks are separated. Higher values of α indicate that the peaks are well separated and the value approaches 1 as the two peaks are coeluted. Separation selectivity can be adjusted in several ways, including (but not limited to) changing the stationary phase, using a different organic modifier, and changing the pH.
The impact of each of these three variables on resolution can be assessed by fixing two parameters and varying the third, as demonstrated in Figure 2. In this case, fixed values of 5000 for column efficiency, 5 for retention factor and 1.05 for selectivity were used. In this case, selectivity is clearly the most powerful variable that affects resolution for this combination of values. This is often the case for typical LC separations and is the reason that it is critical to optimize separation selectivity during method development. Many chromatographic variables (mobile phase, temperature, instrument and column parameters) can affect selectivity, one of the most powerful is column stationary phase chemistry. Exploring column selectivity and identifying the optimal stationary phase chemistry early in method development often provides an efficient route for separating the analytes of interest.
Selectivity in SFC
One of the controlling elution parameters within SFC is the density of the mobile phase, which is affected by the pressure. Indeed, pressure, when pure CO2 is used as the mobile phase, is a key parameter affecting both retention time and the separation selectivity. The relationship when dealing with a single mobile phase is straightforward, as increasing the pressure increases the density, resulting in the lowering of the retention factor. The amount of variation with respect to the density is quite large when dealing with carbon dioxide due to the compressibility of pure mobile phase, meaning that the changes in retention time can be significant. Thus, performing a pressure gradient when using pure carbon dioxide will drive a separation (15).
The situation becomes much more complicated when an organic modifier is incorporated in the mobile phase. The concentration of the organic modifier will determine how the compressibility is impacted. At higher modifier concentrations, the increase in density will not be as large as that observed at lower concentrations; therefore, the importance of pressure as a variable diminishes. If the organic modifier composition and the pressure are both varied during a chromatographic run, then a very complex relationship will exist between the selectivity and retention time. Overall, pressure can be used to fine tune a separation, but due to the complex relationship with the organic modifier, it is typically not recommended to be used as an experimental parameter.
Another factor to consider with the pressure is the pressure drop across the column and ensuring that:
- there is no phase transition occurring within the column;
- an understanding of the impact of reducing the pressure will have on the local temperature;
- when dealing with small particles (sub 2 μm), a consideration of the frictional heating effects.
The organic modifier typically has the greatest impact on the retention and selectivity of the chromatographic process. In this respect it has a similar mechanism to that observed with reversed-phase LC (RPLC), with an increasing amount of organic modifier resulting in an increase in the elution strength of the mobile phase. A range of different modifiers can be used, with the most popular ones being:
- Methanol
- Acetonitrile
- Ethanol
- Isopropanol (IPA)
- Butanol
- Water
- Tetrahydrofuran (THF)
- Dimethylsulfoxide (DMSO)
Of these, methanol is the most common modifier. It is important when choosing the modifier that the solubility between the bulk mobile phase (typically carbon dioxide) and the modifier are considered.
As well as modifiers, pH adjusters and buffers can also be added to the mobile phase such as:
- Trifluoroacetic acid (TFA)
- Diethylamine (DEA)
- Dimethylethanolamine (DMEA)
- Triethylamine (TEA)
- Ammonia (NH3)
- Acetate buffers
The latter work in the same manner as when used in HPLC, adjusting the nature (acid/base) of either the stationary phase or the compound, or both.
Both packed and open-tubular capillary columns can be used in SFC. While manufacturers are moving away from open tubular, there is a possibility of increased efficiency when using this approach compared to packed columns. Less efficient, packed columns are used for less complex mixtures, as they allow shorter analysis times and much higher loadability. Typical column characteristics are 30 to 250 mm length, 2.0 to 4.6 mm i.d., and 5-6 μm particle size. Currently, packed columns are commonly used, since the driver for using SFC is the selectivity and not efficiency. SFC is also used substantially in the field of preparative chromatography.
A wide range of achiral and chiral stationary phases (CSP) can be used in SFC, most of which are silica-based, though polysaccharide, zirconia, polystyrene, divinylbenzene, and porous graphitic carbon-based packings have been used. Most columns used in SFC were first designed for HPLC.
SFC is often considered a normal-phase technique, involving a polar stationary phase and a non-polar mobile phase. As such, SFC provides orthogonal and complementary selectivity to RPLC. This is visually demonstrated by the steroid separations generated using these two techniques shown in Figure 3. SFC and RPLC not only provide very different selectivity for these analytes, but the retention order is almost entirely inverted. Such dramatic changes in retention and selectivity between the two techniques are highly desirable, and the observed complementary is valuable in areas such as drug discovery.
The choice of stationary phases is huge, and listing all of them is not practical. Common examples of achiral polar stationary phases include bare silica, diol, cyanopropyl (CN), aminopropyl, 2-pyridylpropyl urea and one that has been specifically developed for SFC: 2-ethylpyridine (2-EP). Non-polar HPLC stationary phases such as the very popular octadecylsilane packing (C18) have also been used in SFC.
Quantifying Stationary Phase Selectivity
Various empirical approaches for characterizing LC stationary phases have been developed over the years (LSER, Product Quality Research Institute (PQRI), NIST 870, Uni Leuven, Tanaka). All approaches assess column selectivity by comparing the retention of well-defined analytes under specific conditions. For example, the well-established Tanaka approach (16) and extended modifications (17–19), assess hydrophobic, aromatic, phenolic, and shape and steric selectivity, along with ion-exchange capacity, hydrogen bonding capacity, and dipole-dipole interactions. In the linear solvation energy relationships (LSER) approach, retention factors for selected analytes are correlated with specific molecular properties (molar refraction, dipolarity, polarizability, hydrogen bonding acidity and basicity, and McGowan characteristic volume) to derive a characteristic set of stationary phase specific coefficients (20). These approaches have been thoroughly evaluated and applied to develop databases of stationary phases for column selection purposes.
A convenient assessment of the selectivity difference between two stationary phases can be derived from selectivity correlations, according to the Neue selectivity approach (21), where gradient retention times of a set of compounds run on different columns or mobile phase conditions are correlated. The coefficient of determination (R2) is used to define a selectivity correlation value (S-value), according to equation 5. Table II shows S-values generated using retention data for an in-house set of 41 analytes for five LC stationary phases bonded onto the same base silica. A value of 0 indicates identical selectivity, while low S-values of approximately 6–8 indicate the two columns are similar with small observable selectivity differences. A value of 100 would denote complete orthogonality, while intermediate values demonstrate that the stationary phases are complementary, with substantially different selectivity. The S-values show that the five stationary phases offer different, yet complementary, selectivity to one another. For analytes with different structural properties, significantly different separation selectivity can be expected on the different phases.
Assessing the Selectivity of SFC Stationary Phases
The aim of this study was to assess and measure the selectivity differences afforded by three prototype SFC phases, prepared in-house, including bare silica, CN, and 2-EP chemistries. Column stationary phase classification is not as well established in SFC as it is in RPLC. An LSER-based approach has however been extensively used for characterization by West and Lesellier and associates (22). According to these authors, these three phases are all characterized as polar SFC phases. Unbonded silica phases can establish dipole-dipole interactions with analytes, and show both hydrogen bond donor and acceptor characteristics, while dispersive interactions are not favorable (23). Comparison to bare silica phases suggests that CN phase hydrogen bonding characteristics are lower, with the ligand being a better acceptor than donator, and showing greater dipole character (22). The 2-EP phase shows enhanced π-π and dipole-induced dipole interactions and enhanced hydrogen bond acceptor characteristics, while dispersive interactions are slightly higher than those for the other phases (24). Interpreting analyte retention and selectivity in SFC can be challenging. The exact nature of retention mechanisms and the impact of additives is complex, involving a multitude of molecular interactions that can make deconvoluting retention behavior difficult (25). Work by several authors (26–28) has suggested that organic modifiers and additives, including water if present, can be adsorbed on the stationary phase surface, in an analogous manner to HILIC, to create a pseudostationary phase (29). The adsorbed mobile phase components will effectively modify the stationary phase surface, impacting analyte retention (9). Analyte retention, therefore, may be a combination of partitioning into the adsorbed layer and adsorption onto the stationary phase itself, and it may be somewhat ambiguous as to whether the stationary phase surface itself, or the nature of the adsorbed pseudo-layer, drives analyte retention.
Figure 4 illustrates an initial assessment of selectivity differences offered by these stationary phases, provided by injecting a standard test mixture containing eight analytes, including four corticosteroids (sample analytes 3–6), two xanthines (sample analytes 1–2) and two sulfonamides (sample analytes 7–8) on three phases, using identical gradient conditions. The corticosteroids contain complementary pairs of analytes, the cortisone/hydrocortisone and prednisone/prednisolone pairs differing by reduction of the C11 carbonyl to a hydroxyl group. Additionally, prednisone/cortisone and prednisolone/hydrocortisone differ by a carbon-carbon double bond at C1. The xanthines are polar neutral hydrogen bond acceptors, although theophylline contains an additional hydrogen bond donor group. The two sulfonamides are very similar structurally, with sulfaquinoxaline containing an additional aromatic ring.
The 2-EP phase generally showed stronger retention than the other two phases, and provided full separation of the eight components, except for prednisone and cortisone. The silica and CN phases produced somewhat similar retention, although, notably, the silica phase provided >80% increase in retention of the xanthines. Increased xanthine retention is likely due to increased interaction of these hydrogen bond acceptors with surface silanols or adsorbed methanol on the silica surface, which could be somewhat reduced on the bonded CN phase. The 2-EP phase provided excellent separation of caffeine and theophylline, whereas the silica and CN phases did not resolve these components. 2-EP phases show greater hydrogen bond acceptor characteristics than silica or CN phases (22,24,30), and are therefore likely to show affinity towards the hydrogen bond donor group of theophylline, which drives this improved separation.
For the corticosteroids, the silica and 2-EP phases both appear to provide marginally improved separation between the hydroxyl/carbonyl pairs (peaks 3, 5 and 4, 6), while only the silica phase could resolve cortisone and prednisone. These two components differ by a single C-C double bond, although the reason why a similar increase in resolution between peaks 5 and 6, which differ by the identical substitution, is not observed remains unclear.
The CN phase showed a reversal in elution order of peaks 7 and 8, presumably due to enhanced dipole interaction between the CN phase and sulfaquinoxaline. The 2-EP phase appears to provide extra π-π aromatic interaction and enhanced retention for these two components, with the additional aromatic ring in sulfaquinoxaline giving further increased interaction and a much superior separation. This application demonstrates that the stationary phase selected can impart significantly different separation selectivity.
To further assess the selectivity of these stationary phases, the Neue approach to characterization was adapted. The same compounds used to characterize reversed-phase columns could not be utilized, due to low analyte solubility in SFC compatible diluents; therefore, an alternative set of analytes was assessed. A total of 48 compounds, comprising of 11 neutrals of varying polarity, 11 heterocyclics (purines, nucleosides, and nucleotides), 7 acids, 9 bases, 3 diuretics, 2 sulfonamides, and 5 steroids were chromatographed using a 5-min gradient.
Principal component analysis (PCA) is a statistical manipulation of a set of data to allow identification of key variables. This is achieved by initially standardizing the range of each variable, so that a comparable scale is used for all and then developing a covariance matrix, which allows for an understanding of how the variables of the data input set deviate from the mean with respect to each other. For the latter part, if two variables are highly related, then only one may be needed to explain the output data set. Finally, the eigenvectors and eigenvalues are calculated to determine the principal components.
Initially, this approach was used to test the validity of the compounds used to test the columns, ensuring that there was no redundancy in the choice of test compounds. Analyte molecular descriptors (Abraham descriptors, logDo/w pH 3.4 and 10.8, acid, and basic pKa) were calculated using ACD/Labs Percepta software and PCA analysis performed using Sartorius SIMCA software. Figure 5 shows a plot of the resulting PCA. It can be clearly seen that the individual components are well segregated, and cover a large relative domain of the available parameter space, meaning that, in this scenario, the choice of compounds for profiling the compounds is a good one.
Initially, a binary CO2:methanol eluent system was used; however, poor peak shapes and excessive retention for basic analytes on the polar silica and CN stationary phases were observed. Additives (typically acids, bases, or salts) are often introduced into the organic modifier at typical concentrations of 0.1–1% to improve solubility and limit secondary interactions with the stationary phase surface (9,25,31,32). The addition of 10 mM ammonium formate was found to be highly beneficial, providing good peak shape and retention of bases. Neutral analytes showed poor retention on all three phases, while the polar neutral components showed only marginally better retention. The acids, bases, diuretics, and heterocycles were generally well retained on all three phases, with a broad spread of retention times. Although the steroids are neutral and moderately hydrophobic, they showed good interaction with the stationary phases to provide reasonable retention under SFC conditions, demonstrating the applicability of SFC for such compounds (33,34).
A few general points can be made regarding the absolute retention of the various compound classes. First, the 2-EP phase was overall the most retentive for most analytes. This phase showed a notably stronger affinity for acids than either the CN or silica phases, presumably due to partial negative charge on acidic components and a partial positive charge on the pyridine moiety of the stationary phase ligand. The silica and CN phases showed stronger retention of bases compared to the 2-EP, indicating a degree of silanol acidity on the surface of these phases, or electrostatic repulsion and reduced retention on the 2-EP phase. Comparing the silica and CN phases, heterocyclic and basic analytes showed greater retention on the silica phase, while the remainder showed somewhat similar retention on both phases.
From this data, retention time plots were generated for each column pair (Figure 6) and, in turn, used to calculate the corresponding correlation coefficients and S-values. The values obtained on these three stationary phases were strikingly higher than those observed for the reversed-phase stationary phases in Table II, indicating a large degree of complementary selectivity between the phases for this set of compounds. While the silica and CN phases gave the lowest overall retention, they still clearly demonstrated different selectivity to one another (S = 51). Correlations that include the 2-EP phase produced the highest S-values, indicating the unique selectivity of this SFC phase. This data overall confirms that in SFC, the stationary phase chemistry can impart a powerful effect on separation selectivity.
In RPLC, large differences in S-values (>80) may be observed for a single stationary phase when comparing acidic and basic mobile phases, especially when ionizable analytes are present (35). Mobile phase pH determines the ionization state (and hence polarity) of such analytes, and therefore can substantially affect analyte retention and selectivity. The same set of compounds were run using 0.1% (9 mM) ammonium hydroxide as the additive, to a) establish whether the interphase selectivity difference is still apparent when using different additives; and (b) to assess whether this additive can impart different separation selectivity. High, almost identical S-values were obtained (Table III), indicating a similar degree of complementary selectivity between the stationary phase chemistries is maintained with the basic additive. On the silica phase, a general increase in retention was observed for most analytes, except for the neutral and polar neutral compounds, which showed minimal change. The basic and heterocyclic analytes showed retention increases of 20–30%, while the steroids showed more modest increases of around 15%. Notably, acidic analytes showed a large increase in retention, in many cases between 45–50%. If ammonium hydroxide increased the apparent pH of the mobile phase, it may be anticipated that increased ionization of surface silanol groups should result in electrostatic repulsion of negatively charged acidic analytes, therefore decreasing their retention. The fact that the opposite was observed suggests that a more favorable partitioning of polar analytes into an adsorbed polar surface layer of mobile phase or additive is occurring. In recent work, West proposed that the presence of salt and water as additives increase the thickness of the adsorbed layer of mobile phase components on the stationary phase surface for a silica phase (29). In the current study, aqueous ammonium hydroxide solution was used to prepare the mobile phase, therefore introducing a small fraction of water into the mobile phase. This may potentially be providing a thicker adsorbed layer, leading to increased retention of these polar analytes, via an enhanced capacity for analyte partitioning into this pseudo-layer.
Similar trends were observed on the CN phase, although the magnitude of the retention increase was substantially reduced. Interestingly, the basic compounds showed no retention increase on the CN phase, indeed many showed a small decrease. In contrast, the 2-EP phase showed minimal changes in retention time for all analytes under the two sets of conditions, with all but adenine, salicylic acid and 4-hydroxyphenylacetic acid showing less than +/- 5% change.
The selectivity data can also be used to examine the selectivity difference between the two mobile phase additives on each stationary phase (Figure 7). Substantially lower selectivity values were obtained compared to those correlating the different stationary phases in Figure 6 and Table III. As discussed, the 2-EP phase showed little difference in retention time for any analytes between the two additives; therefore, it is unsurprising that the S-value for this comparison is just 6, indicating little change in selectivity when changing the additive. On the silica and CN phases, higher S-values were determined between the two additives, indicating that some selectivity difference is apparent, although the magnitude is far less significant than that obtained between stationary phase chemistries.
The low S-values obtained on all three stationary phases when comparing the two additives implies that under the selected SFC conditions, analyte ionization state was not affected in the same way as in RP conditions upon moving to a more basic mobile phase additive. This agrees with recently published studies by West and associates, regarding the apparent pH of CO2:methanol mobile phase systems (29,32). The authors estimated an apparent pH of around aqueous pH 5, with increasing methanol composition shifting this perhaps lower, due to methoxycarbonic acid formation. Notably, they concluded that the addition of salts or basic additives seemed to have little effect on the apparent pH of the mobile phase system, possibly due to titration with methoxycarbonic acid. As a result, changes in retention for ionizable analytes, due to changes in ionization state, were not observed here. Additionally, Ovchinnikov and associates observed close similarity when using both diethylamine and ammonium acetate as additives. They proposed that titration of the amine additive in the acidic CO2:methanol media results in formation of the corresponding methylcarbamate salt, hence both additives are present in the mobile phase as ammonium salts (25). The data for the 2-EP phase is also interesting, as the predicted pKa of the pyridine nitrogen atom of the stationary phase ligand is 5.55. Therefore, assuming the apparent pH of the SFC conditions is approximately 5, the pyridine ring should be partially ionized, and the overall ionization state highly sensitive to any change in apparent pH. The fact that the retention times obtained using both additives were almost identical on this stationary phase therefore seems to add further weight to the argument that salt and basic additives appear to have little impact on the apparent pH of the mobile phase in CO2:methanol systems. The effect on the silica and CN phases are perhaps more difficult to interpret. Clearly, particularly for the silica phase, switching to ammonium hydroxide does appear to alter the stationary phase surface, primarily from a retention perspective, rather than substantially altering the selectivity. At the pH values discussed above, residual silanols on the stationary phase surface could be partially anionic in character, and again potentially sensitive to changes in apparent pH (31). It is worth noting that, although highly acidic mobile phases were not assessed during the current study, acidification of ammonium formate with formic acid did not yield appreciably different S-values when tested on the CN phase. The use of a pure acidic additive (such as formic, acetic, or trifluoroacetic acid)to affect selectivity may warrant investigation, as such additives have been suggested to provide acidic conditions close to aqueous pH 1 (32).
Overall, the data presented in this study demonstrate that substantial changes in separation selectivity can be expected with different SFC stationary phases. An assessment of different stationary phase chemistries during method development, an approach which is widely used for other chromatographic modes, would therefore be valuable. Additionally, it appears that the selectivity difference afforded by the two different additives tested was substantially lower on the silica and CN phases, and insignificant on the 2-EP phase.
Conclusions
This study aimed to assess the degree of selectivity difference offered by three prototype SFC phase materials, namely silica, CN, and 2-EP. Clear selectivity differences were observed on the three phases. A modified Neue selectivity approach was used to quantify the selectivity differences observed. Selectivity plots generated from the retention times of 48 analytes, with differing physicochemical properties using methanol and 10 mM ammonium formate as the organic modifier and additive, produced selectivity values substantially higher than typically observed between reversed-phase stationary phases. Replacing ammonium formate with a basic additive (ammonium hydroxide), provided similar selectivity differences between the three phases. However, comparisons between data for ammonium formate and ammonium hydroxide on the same stationary phase revealed much lower selectivity differences on the silica and CN and insignificant differences on the 2-EP phase. Stationary phase chemistry, therefore, appears to be a powerful tool for optimizing the selectivity of SFC separations. From the current study, the choice of additive has significant impact on retention, but a less substantial impact on selectivity.
References
(1) T. Andrews, Proc. Roy. Soc. 24, 455–463 (1875).
(2) C.M. White, Modern Supercritical Fluid Chromatography (Heidelberg: Hüthig, 1988).
(3) E. Klesper, A.H. Corwin, and D. A. Turner, J. Org. Chem. 27, 700–701 (1962).
(4) S.T. Sie, W. Van Beersum, and G.W.A. Rijnders, Separ. Sci. 1, 459–490 (1966).
(5) S.T. Sie and G.W.A. Rijnders, Anal. Chim. Acta. 38, 31–44 (1967).
(6) R. Jentoft and T. Gouw, J. Chromatogr. Sci. 8, 138–142 (1970).
(7) L.G. Randall and A.L. Wahrhaftig, Anal. Chem. 50(12), 1703–1705 (1978).
(8) M. Novotny, S.R. Springston, P.A. Peaden, J.C. Fjeldsted, and M.L. Lee, Anal. Chem. 53(3), 407–414 (1981).
(9) G.L. Losacco, J.-L. Veuthey, and D. Guillarme, TrAC 141, 116304 (2021).
(10) H. Engelhardt and A. Gross, TrAC 10(2), 64–70 (1991).
(11) E. Lesellier and C. West, J. Chromatogr. A 1382, 2–46 (2015).
(12) K. Taguchi, E.B.T. Fukusaki, and T. Bamba, J. Chromatogr. A 1362, 270–277 (2014).
(13) V.F. Samanidou, in Analytical Separation Science, J. Anderson, A. Berthod, V. Pino, A.M. Stalcup, Eds. (Wiley-VCH & Co kGaA, Weinheim, Germany, 2015), pp. 25–42
(14) J.H. Purnell, J. Chrom. Soc. 1268–1274 (1960).
(15) S. Küppers, B. Lorenschat, F.P. Schmitz, and E. Klesper, J. Chromatogr. A 475, 85–94 (1989).
(16) K. Kimata, K. Iwaguchi, S. Onishi, K. Jinno, R. Eksteen, K. Hosoya, M. Arki, and N. Tanaka, J. Chrom. Sci. 27, 721–728 (1989).
(17) M.R. Euerby and P. Petersson, J. Chromatogr. A 994(1–2), 13–36 (2003).
(18) C. Markopoulou, T. Tweedlie, D. Watson, G. Skellern, H. Reda, P. Petersson, H. Bradstock, and M. Euerby, Chromatographia 70, 705–715 (2009).
(19) E. Cruz, M.R. Euerby, C.M. Johnson, and C. A. Hackett, Chromatographia 43, 151–161 (1997).
(20) M. Vitha and P.W. Carr, J. Chromatogr. A 1126(1–2), 143–194 (2006).
(21) U.D. Neue, J.E. O’Gara, and A. Méndez, J. Chromatogr. A 1127, 161–174 (2006).
(22) C. West, E. Lemasson, S. Bertin, P. Hennig, and E. Lesellier, J. Chromatogr. A 1440, 212–228 (2016).
(23) C. West and E. Lesellier, J. Chromatogr. A 1110, 200–213 (2006).
(24) S. Khater, C. West, and E. Lesellier, J. Chromatogr. A 1319, 148–159 (2013).
(25) D.V. Ovchinnikov, N.V. Ul’yanovskii, D.S. Kosyakov, and O.I. Pokrovskiy, J. Chromatogr. A 1665, 462820 (2022).
(26) J.R. Strubinger, H. Song and J.F. Parcher, Anal. Chem. 63, 104–108 (1991).
(27) E. Glenne, K. Öhlén, H. Leek, M. Klarqvist, J. Samuelsson, and T. Fornstedt, J. Chromatogr. A 1442, 129–139 (2016).
(28) T.A. Berger and J.F. Deye, J. Chromatogr. A 547, 377–392 (1991).
(29) C. West and E. Lemasson, J. Chromatogr. A 1593, 135–146 (2019).
(30) L. Si-Hung and T. Bamba, Anal. Sci. Adv. 2, 47–67 (2021).
(31) C. West, Chrom. Today 6(2), 22–27 (2013).
(32) C. West, J. Melin, H. Ansouri ,and M. Mengue Metogo, J. Chromatogr. A 1492, 136–143 (2017).
(33) N. de Kock, S.R. Acharya, K.S.J. Ubhayasekera, and J. Bergquist, Sci. Rep. 8, 16993 (2018).
(34) J.L. Quanson, M.A. Stander, E. Pretorius, C. Jenkinson, A.E. Taylor, and K-H. Storbeck, J. Chromatogr. B 1031, 131–138 (2016).
(35) P. Petersson, M.R. Euerby, M. Fever, J. Hulse, M. James, and C. Pipe, LCGC Europe 29(1), 8–21 (2016).
Articles in this issue
over 3 years ago
Recent Developments in HPLC and UHPLC: From Our Guest EditorNewsletter
Join the global community of analytical scientists who trust LCGC for insights on the latest techniques, trends, and expert solutions in chromatography.





