
Hybrid Particle Columns: The First Twenty Years
We examine the evolution of hybrid particle columns, highlighting examples of separations enabled by this technology.
June 2019 marked the twentieth anniversary of the introduction of the first high performance liquid chromatography (HPLC) columns containing hybrid organic–inorganic particles. In this article, we review the chemistry and key attributes of hybrid particle columns, and show examples demonstrating how these columns have been used for separations of a variety of analytes.
Since their introduction twenty years ago, hybrid particle columns have become widely used in an ever-expanding range of applications. By combining the desirable features of organic and inorganic materials, hybrid particles offer benefits over both silica and organic polymer stationary phases. Compared to silica, hybrid particles exhibit improved stability to basic mobile phases and reduced silanol acidity. Compared to organic polymers, hybrid particles offer higher column efficiencies and improved mechanical strength. In this article, we examine the history and evolution of hybrid particle columns, highlighting examples of separations enabled by hybrid particle technology for analytes ranging from small molecules to biopolymers.
Hybrid Particles
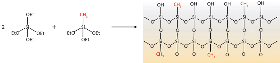
Hybrid organic–inorganic materials contain both organic (organosiloxane) and inorganic (silica) components. Although extensively studied by the materials science community (1), there were few reports of the use of hybrid particles in HPLC prior to 1999 (2). One notable early publication by Unger, Becker, and Roumeliotis demonstrated that organic functional groups such as benzyl and 1,2-diol-3-propoxypropyl could be incorporated into both the internal and surface structure of chromatographic particles by co-hydrolysis and co-condensation of an organo-triethoxysilane and tetraethoxysilane (TEOS) (3). In a modification of this approach, a team at Waters synthesized particles from TEOS and methyltriethoxysilane (Figure 1), then derivatized these particles with silanes to yield C18-bonded hybrid particles (4). These particles showed significantly improved stability to alkaline mobile phases versus similarly bonded silica particles. A family of HPLC columns based on these hybrid particles was introduced in June 1999.
Figure 1: Synthesis of methyl hybrid particles from tetraethoxysilane and methyltriethoxysilane. In the schematic on the right, the top layer represents the surface, and the bottom layer represents the internal structure of the particle.
Chromatographic Performance of Methyl Hybrid Columns
Compared to silica-based columns, the main distinguishing feature of methyl hybrid columns is improved resistance to alkaline mobile phases. Typical C18-silica columns are only recommended for use up to pH 8, due to the onset of particle dissolution and bonded phase hydrolysis in higher pH mobile phases, leading to losses of efficiency and retention (5). The presence of methyl groups throughout the hybrid particle slows the rate of hydrolysis compared to similarly bonded C18-silica particles, resulting in longer column lifetimes when using alkaline mobile phases (6–8). A trifunctional C18 bonded phase based on these methyl hybrid particles was also shown to be stable to strongly acidic mobile phases, where bonded phase hydrolysis can result in a loss of retention (6,8). Indeed, the unbonded methyl hybrid particles are remarkably stable to acidic solutions, with no loss of carbon found after exposure to 1 M HCl at 100 °C for 16 h (6).
Another benefit demonstrated for methyl hybrid columns is improved peak shape for basic analytes, particularly when using neutral pH mobile phases (6,7). Peak tailing for bases at neutral pH is primarily caused by the ion-exchange interaction of protonated bases with ionized silanol groups. Methyl hybrid stationary phases exhibit greatly reduced silanol acidity, as measured by the retention of lithium ion (Li+) with a 60:40 methanol–water mobile phase buffered to different pH values (9). A similar conclusion was reached based on studies of the retention of the quaternary ammonium ion bretylium (10). The lower silanol acidity of methyl hybrid columns results in symmetric peaks for basic analytes over a wide range of mobile phase pH values (7).
One key benefit of using a column that has an extended upper pH limit is that it can be used to investigate the optimum mobile phase pH for mixtures containing ionizable analytes with pKa values greater than approximately 8 (7,8). Compared to other parameters that influence selectivity, such as the stationary phase chemistry and the organic component of the mobile phase, mobile phase pH has been shown to have a significantly greater impact for ionizable analytes (11). An example illustrating the effect of mobile phase pH on the separation of six ionizable analytes is shown in Figure 2 (7). Large changes in selectivity are observed as the pH is varied, with the retention of the basic analytes lidocaine (pKa 7.7), doxepin (pKa 9.0), imipramine (pKa 9.4), and nortriptyline (pKa 10.5) increasing as the pH is increased, converting them from their protonated to their neutral forms. In contrast, the retention of the acidic analyte ibuprofen (pKa 4.4) decreases as the pH is increased, converting it from its neutral to its deprotonated form. Although acetaminophen is neutral from pH 2 to 8, the phenol group (pKa 9.5) is ionized at pH 10.6, resulting in decreased retention. The best separation was achieved using a pH of 8. Investigating low and high pH mobile phases has been shown to be a valuable strategy for method development (12). A related idea involves two-dimensional HPLC separations using a pH 10 mobile phase with a C18-methyl hybrid column for the first dimension and a pH 2.6 mobile phase with a C18-silica column for the second dimension (13). Separations using a pH gradient from 10.5 to 3.0 have also been demonstrated using a C18-methyl hybrid column for mixtures of ionizable analytes (14).
Figure 2: Chromatograms showing the isocratic separation of a mixture of acidic and basic analytes using an XTerra RP18 5-µm, 3.9 mm × 150 mm column and mobile phases containing 65:35 (v/v) 20 mM buffer–acetonitrile with four different pH values. The flow rate was 1.0 mL/min and ultraviolet (UV) detection was used at 210 nm for (a) pH 2.5, (b) pH 5.0, (c) pH 8.0, and at 230 nm for (d) pH 10.6. Peaks: 1 = acetaminophen, 2 = lidocaine, 3 = doxepin, 4 = imipramine, 5 = nortriptyline, 6 = ibuprofen.
A second benefit afforded by using a column that is stable over a wide pH range is that the loading capacity of basic analytes with pKa values greater than approximately 8 may be increased by using a mobile phase in which they are neutral, that is one with a pH higher than their pKa values (15,16). Capacity increases of a factor of 20 or more were reported for several bases when changing the mobile phase aqueous buffer from pH 3.75 to pH 10.0 (15). At the lower pH, where the analytes are protonated, mutual ionic repulsion affects their adsorption on the stationary phase. The greater loading capacities for bases when using high-pH mobile phases is particularly beneficial for preparative applications.
When the methyl hybrid columns were introduced, the family included short columns packed with 2.5 µm particles for use in fast separations. The benefits of using small particles to achieve higher speed separations had been well established (17), and columns containing particles as small as 1.5 µm were available in 1995 (18). Limited by the roughly 6000 psi pressure ceiling of the HPLC systems available at that time, these small particles could only be used in short (≤50 mm) columns. Ultrafast separations (<1 min) were demonstrated using 2.1 mm × 20 mm columns packed with 2.5-µm C18–methyl hybrid columns (19). Spurred by reports from Jim Jorgenson's group on the use of much longer capillary columns packed with 1.5-µm particles at ultrahigh pressures (20), studies were carried out to investigate the use of longer columns packed with 2.5-µm C18–methyl hybrid particles on a prototype ultrahigh-pressure liquid chromatography (UHPLC) system. Although these experiments demonstrated that 2.1 mm × 150 mm columns packed with methyl hybrid particles could produce the predicted high efficiencies, the columns were not mechanically stable enough to give acceptable lifetimes at the pressures generated when operating at or above the optimum flow rate (21). The methyl hybrid particles are not strong enough to tolerate the column packing pressures needed to obtain stable columns for use at pressures greater than 6000 psi.
Second-Generation Hybrid Particle Columns: Bridged-Ethylene Hybrid (BEH) Technology
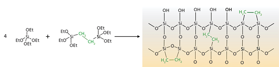
The need for higher strength hybrid particles led to the development of a second-generation hybrid particle composition. Hybrid materials prepared using organic groups bridging two or more silicon atoms had been reported in 1995 (22). In contrast to the methylsiloxane groups in methyl hybrid particles, such bridging organic groups do not reduce the number of cross-link sites when co-condensed with TEOS to form particles. Hybrid particles containing bridged-ethylene groups (Figure 3) exhibit superior strength, as well as a significant increase in high-pH stability (23,24). When the first UHPLC system was introduced in 2004, with a pressure limit of 15,000 psi, the columns designed for it contained these second-generation hybrid particles in a 1.7-µm particle size (25). A family of columns containing 2.5-, 3.5- and 5-µm second-generation hybrid particles was introduced in 2005 (24).
Figure 3: Synthesis of second-generation hybrid particles from tetraethoxysilane and 1,2-bis(triethoxysilyl)ethane. In the schematic on the right, the top layer represents the surface and the bottom layer the internal structure of the particle.
These second-generation hybrid particle columns have been found to be useful in a wide range of applications, including separations of both low and high molecular weight analytes (26). A Scopus search for articles containing the terms "BEH" or "XBridge" and "columns" found 2,142 documents as of June 10, 2019. One application that benefits from both the extended upper pH limit and the speed benefit of 1.7-µm second-generation hybrid particles is the reversed-phase separation of oligonucleotides. As shown in Figure 4, a 2.1 mm × 50 mm 1.7-µm second-generation hybrid C18 column provides baseline separation of a 15- to 35-mer oligodeoxythymidine ladder in less than 10 min (27). The aqueous mobile phase used for this ion-pairing reversed-phase separation contains triethylamine and has a pH of approximately 8. The column temperature used was 60 °C. The combination of the alkaline mobile phase and the elevated temperature results in short lifetimes for conventional C18-silica columns. However, with the extended high-pH stability of the second-generation hybrid particles, good column lifetimes may be achieved under these conditions.
Figure 4: Chromatogram showing the gradient separation of a 15-to 35-mer oligothymidine ladder using an Acquity BEH C18 1.7-µm, 2.1 mm × 50 mm column. Mobile phase A contained 15 mM triethylamine and 400 mM hexafluoroisopropanol in water and mobile phase B contained 50:50 mobile phase A:methanol. The gradient started at 19% methanol and the methanol concentration was increased linearly at 0.5%/min. The flow rate was 0.2 mL/min and the column temperature was 60 °C.
The extended high-pH stability of second-generation hybrid particles is also beneficial in hydrophilic interaction liquid chromatography (HILIC). An example of a high pH HILIC application is the separation of food sugars using second-generation hybrid amide columns. Although amino columns are commonly used for this separation, using an unbuffered acetonitrile–water mobile phase, the amino groups on the stationary phase may react with reducing sugars, leading to inaccurate peak areas (28). Poor retention time stability is also an issue with many amino columns. Lacking amino groups, amide stationary phase are non-reactive with reducing sugars. To produce single peaks for the reducing sugars, instead of resolving the anomers, a base such as triethylamine is added to the mobile phase and an elevated column temperature is used. Even under high temperature (90 °C) alkaline conditions (pH 10.3), a 1.7-µm second-generation hybrid amide column showed excellent retention stability over 2000 injections of samples prepared from food matrices (28).
A number of second-generation hybrid variants have been created to address the needs of different applications. Wide pore (300-Å) versions were developed for reversed-phase separations of peptides and proteins (26,29) and HILIC separations of glycoproteins (30). Higher pore volume materials in a range of pore sizes were developed for use in size-exclusion chromatography (SEC) of proteins and synthetic polymers (31,32). In addition, specialized bonded phases on second-generation hybrid particles have been developed for use in supercritical fluid chromatography (SFC) (33).
Charged-Surface Hybrid (CSH) Technology Columns
A recent direction in hybrid particle columns involves introducing a low concentration of positively charged groups into the surface of second-generation hybrid particles (34). The benefits of this approach include modified selectivity for ionized analytes and improved loading capacity and peak shape for basic analytes when using acidic mobile phases containing low concentrations of ions (0.1% formic acid) (35). The improved peak shape of bases in 0.1% formic acid is important in LC–MS methods using electrospray ionization, where the use of this mobile phase modifier is preferred to maximize detection sensitivity. One important application benefitting from charge-modified hybrid columns is the separation of basic peptides, such as those produced by digesting proteins with trypsin or lys-C (36). Charge-modified hybrid C18 columns were found to give higher peak capacities for basic peptides compared to second-generation hybrid C18 columns, particularly when using relatively high mass loads and mobile phases containing 0.1% formic acid. This enables the use of a single high-resolution peptide mapping method with both ultraviolet (UV) and mass spectrometry (MS) detection. The separation of a tryptic digest of enolase using 2.1 mm × 150 mm 1.7-µm charge-modified hybrid C18 and 1.7-µm second-generation hybrid C18 columns with mobile phases containing 0.1% formic acid is shown in Figure 5 (37). The peptides were detected using a quadrupole time-of-flight (QTOF) mass spectrometer. The separation conditions were identical for the two columns. Twelve peptides spanning the separation were selected to calculate the peak capacity. The results show that the charge-modified hybrid C18 column produced a peak capacity that is 33% higher than that achieved using a second-generation hybrid C18 column.
Figure 5: Total ion chromatograms showing gradient separations of a tryptic digest of enolase using (a) Acquity BEH C18 and (b) Acquity CSH C18 columns, both 1.7-µm, 2.1 mm × 150 mm. Mobile phase A contained 0.1% formic acid in water and mobile phase B was 0.1% formic acid in acetonitrile. The concentration of mobile phase B was increased linearly from 2 to 50% over 60 min. The flow rate was 0.3 mL/min and the column temperature was 40 °C. The 4-sigma peak capacities determined using twelve peptides spanning the separations are indicated.
The presence of the positively charged groups in charge-modified hybrid stationary phases enables them to retain polar anionic compounds that are poorly retained on conventional reversed-phase materials. For example, a charge-modified hybrid C18 column was found to provide improved retention and separation of glucosinolates extracted from Arabidopsis thaliana leaves (38). Glucosinolates are secondary metabolites that contain a sulfonated oxime group, along with a thioglucose moiety and a side chain derived from an amino acid. The mobile phase contained 0.05% formic acid, chosen to minimize ion suppression for this UHPLC–TOF-MS method. The method was used to identify and quantify 21 glucosinolates with a total run time of 11 min. As a second example, a charge-modified hybrid phenyl-hexyl column was shown to separate 10 citric acid cycle metabolites using 0.1% formic acid as the mobile phase additive (39). The analytes were detected using tandem mass spectrometry (MS/MS) in the negative ion mode. Excellent separations were achieved for the isobaric compounds citric acid and isocitric acid and for malic acid and fumaric acid. Separation of the latter pair is important because malic acid may undergo in-source fragmentation followed by decomposition in the collision cell to give the same MS/MS transition as fumaric acid.
Conclusions
The combination of improved high- pH stability, low silanol acidity, and high efficiency have made hybrid particle columns valuable tools for HPLC separations of a wide range of analytes. By expanding the accessible mobile phase pH range beyond that of silica-based columns, hybrid particle columns have allowed a wider range of mobile-phase conditions to be explored during method development. This expansion has enabled a broader selectivity space to be accessed, particularly for mixtures containing ionizable analytes with pKa values greater than approximately 8. It has also provided dramatically higher loading capacities for basic analytes. With the first UHPLC columns leveraging the mechanical strength of second-generation hybrid particles, hybrid particle columns became inextricably linked with UHPLC, fueling the rapid growth in applications for these columns. These applications include reversed-phase, HILIC, and size-exclusion separations. In the related area of SFC, hybrid particle columns have also proved to be valuable. With the availability of new selectivity options such as those in the charge-modified hybrid family, the range of applications for hybrid particle columns will continue to expand. As observed thirteen years ago, and still true today, "a vast number of organic–inorganic combinations remain unexplored at the molecular building block level. This fact hints (if not exclaims) that hybrid technology will continue to contribute to the advancement of the separation sciences" (2).
References
(1) R.M. Laine, C. Sanchez, C.J. Brinker and E. Giannelis, Organic/Inorganic Hybrid Materials, (Material Research Society, Symposium Proceedings Vol. 519, 1998).
(2) J.E. O'Gara and K.D. Wyndham, J. Liq. Chromatogr. Relat. Tech. 29, 1025–1045 (2006).
(3) K.K. Unger, N. Becker, and P. Roumeliatis, J. Chromatogr. 125, 115–127 (1976).
(4) U. S. patents 6,686,035; 7,223,473; 7,919,177 and 8,778,453.
(5) J.J. Kirkland, M.A. van Straten, and H.A. Claessens, J. Chromatogr. A 691, 3–19 (1995).
(6) T.H. Walter, Waters White Paper 990858, (1999).
(7) Y.-F. Cheng, T.H. Walter, Z. Lu, P. Iraneta, B.A. Alden, C. Gendreau, U.D. Neue, J. M. Grassi, J.L. Carmody, J.E. O'Gara, and R.P. Fisk, LCGC NA 18, 1162-1172 (2000).
(8) U.D. Neue, T.H. Walter, B.A. Alden, Z. Jiang, R.P. Fisk, J.T. Cook, K.H. Glose, J.L. Carmody, J.M. Grassi, Y.-F. Cheng, Z. Lu, and R.J. Crowley, Amer. Labor. 31 (22), 36–39 (1999).
(9) A. Mendez, E. Bosch, M. Roses, and U.D. Neue, J. Chromatogr. A 986, 33–44 (2003).
(10) U.D. Neue, C.H. Phoebe, K. Tran, Y.-F. Cheng, and Z. Lu, J. Chromatogr. A 925, 49–67 (2001).
(11) U.D. Neue and A. Mendez, J. Sep. Sci. 30, 949–963 (2007).
(12) U.D. Neue, E. . Grumbach, J.R. Mazzeo, K. Tran, and D.M. Wagrowski-Diehl, Handbook of Analytical Separations, Vol. 4 (Elsevier Science: Amsterdam, 2003), pp. 185–214.
(13) M. Gilar, P. Olivova, A.E. Daly, and J.C. Gebler, J. Sep. Sci. 28, 1694–1703 (2005).
(14) R. Kaliszan, P. Wiczling, and M.J. Murkuszewski, Anal. Chem. 76, 749–760 (2004).
(15) U.D. Neue, T.E. Wheat, J.R. Mazzeo, C.B. Mazza, J.Y. Cavanaugh, F. Xia, and D.M. Diehl, J. Chromatogr. A 1030, 123–134 (2004).
(16) N.H. Davies, M.R. Euerby, and D.V. McCalley, J. Chromatogr. A 1119, 11–19 (2006).
(17) J.H. Knox and M. Saleem, J. Chromatogr. Sci. 7, 614–622 (1969).
(18) T. Issaeva, A. Kourganov, and K. Unger, J. Chromatogr. A 846, 13–23 (1999).
(19) Y.-F. Cheng, Z. Lu, and U. Neue, Rapid Commun. Mass Spectrom. 15, 141–151 (2001).
(20) J.E. McNair, K.C. Lewis, and J. W. Jorgenson, Anal. Chem. 69, 983-989 (1997).
(21) E.S.P. Bouvier and B. Mathews, unpublished results.
(22) D.A. Loy and K.J. Shea, Chem. Rev. 95, 1431–1442 (1995).
(23) K.D. Wyndham, J.E. O'Gara, T.H. Walter, K.H. Glose, N.L. Lawrence, B.A. Alden, G.S. Izzo, C.J. Hudalla, and P.C. Iraneta, Anal. Chem. 75, 6781–6788 (2003).
(24) K.D. Wyndham, T.H. Walter, P.C. Iraneta, U.D. Neue, P.D. McDonald, D. Morrison, and M. Baynham, Waters White Paper 720001159EN (2005).
(25) J.R. Mazzeo, U.D. Neue, M. Kele, and R.S. Plumb, Anal. Chem. 77, 460A–467A (2005).
(26) U.D. Neue, M. Kele, B. Bunner, A, Kromidas, T. Dourdeville, J.R. Mazzeo, E.S. Grumbach, S. Serpa, T.E. Wheat, P. Hong, and M. Gilar, Adv. Chromatogr. 48, 99–143 (2009).
(27) M. Gilar and U.D. Neue, J. Chromatogr. A 1169, 139–150 (2007).
(28) C. Hudalla, J. Cook, M. Dion, P. Iraneta, P. Smith, D. Walsh and K. Wyndham, Waters Poster PSTR10126471 (2009).
(29) A. Staub, D. Zurlino, S. Rudaz, J.-L. Veuthey, and D. Guillarme, J. Chromatogr. A 1218, 8903-8914 (2011).
(30) A. Periat, S. Fekete, A. Cusumano, J.-L. Veuthey, A. Beck, M. Lauber, and D. Guillarme, J. Chromatogr. A 1448, 81–92 (2016).
(31) M. Janco, J.N. Alexander IV, E.S.P. Bouvier, and D. Morrison, J. Sep. Sci. 36, 2718-2727 (2013).
(32) E.S.P. Bouvier and S.M. Koza, Trends Analyt. Chem. 63, 85–94 (2014).
(33) S. Khater, C. West, and E. Lesellier, J. Chromatogr. A 1319, 148–159 (2013).
(34) P.C. Iraneta, K.D. Wyndham, D.R. McCabe, and T.H. Walter, Waters White Paper 720003929EN (2011).
(35) N. Lucie, V. Hana, and P. Solich, Talanta 93, 99–105 (2012).
(36) M.A. Lauber, S.M. Koza, S.A. McCall, B.A. Alden, P.C. Iraneta, and K.J. Fountain, Anal. Chem. 85, 6936–6944 (2013).
(37) M.A. Lauber, S.M. Koza, and K.J. Fountain, Waters Application Note 720004571EN (2013).
(38) G. Glauser, F. Schweizer, T.C.J. Turlings, and P. Reymond, Phytochem. Anal., 23, 520–528 (2012).
(39) K.M. Smith, R.S. Plumb, and P.D. Rainville, Waters Technology Brief 720006463EN (2019).
ABOUT THE AUTHOR
Thomas H. Walter is a Corporate Fellow at Waters Corporation, and works in Milford, Massachusetts.
ABOUT THE COLUMN EDITOR
David S. Bell is a director of Research and Development at Restek. He also serves on the Editorial Advisory Board for LCGC and is the Editor for "Column Watch." Over the past 20 years, he has worked directly in the chromatography industry, focusing his efforts on the design, development, and application of chromatographic stationary phases to advance gas chromatography, liquid chromatography, and related hyphenated techniques. His undergraduate studies in chemistry were completed at the State University of New York at Plattsburgh (SUNY Plattsburgh). He received his PhD in analytical chemistry from The Pennsylvania State University and spent the first decade of his career in the pharmaceutical industry performing analytical method development and validation using various forms of chromatography and electrophoresis. His main objectives have been to create and promote novel separation technologies and to conduct research on molecular interactions that contribute to retention and selectivity in an array of chromatographic processes. His research results have been presented in symposia worldwide, and have resulted in numerous peer-reviewed journal and trade magazine articles. Direct correspondence to:
Newsletter
Join the global community of analytical scientists who trust LCGC for insights on the latest techniques, trends, and expert solutions in chromatography.





