
I often get asked about the other important aspects of “screening” in HPLC, which include the mobile phase composition, gradient parameters and flow rate – so that’s the theme of this installment.

Tony Taylor is Group Technical Director of Crawford Scientific Group and CHROMacademy. His background is in pharmaceutical R&D and polymer chemistry, but he has spent the past 20 years in training and consulting, working with Crawford Scientific Group clients to ensure they attain the very best analytical science possible. He has trained and consulted with thousands of analytical chemists globally and is passionate about professional development in separation science, developing CHROMacademy as a means to provide high-quality online education to analytical chemists. His current research interests include HPLC column selectivity codification, advanced automated sample preparation, and LC–MS and GC–MS for materials characterization, especially in the field of extractables and leachables analysis.

I often get asked about the other important aspects of “screening” in HPLC, which include the mobile phase composition, gradient parameters and flow rate – so that’s the theme of this installment.

I’ve been talking about ‘ToolKit’ method development platforms a lot lately and I have to say I’m not sure we are making the most of this approach.

What is required to produce a highly efficient modern high performance liquid chromatography (HPLC) system/column combination? This instalment of the LCGC Blog explains more.

A summary of what these techniques can tell us from a qualitative and quantitative perspective

If you don’t examine your LCMS data closely, you could be missing some of these effects, and those problems with your quantitative data will never be fixed.

Tricks and tips on recognizing, fixing, and preventing common issues associated with solid phase extraction and other common methods of sample preparation

Some modern HPLC systems resemble spacecraft in terms of their technology, designed as they are to operate to the highest efficiencies, compared to traditional systems.

These GC–MS instrument setup requirements are critical to success.

There has been much written about the use of nitrogen as a carrier gas for capillary GC. Formerly, to say it wasn’t any good. Latterly to say that it’s pretty good and a better alternative to Helium than hydrogen from a practicality standpoint.

A short guide to the do’s, don’ts and gotcha’s of eluent preparation for everyday HPLC

LCGC Blogger Tony Taylor offers some simple visual methods to assess column performance.

They say a picture paints a thousand words… This month I’ve taken inspiration from a recent webcast, presented at www.chromacademy.com, in which I presented real data from our work that represents some ‘classic’ GC problems.

So you think you know all about UV detection? Double check your understanding with this short primer on the principles and key variables of ultraviolet visible detection.

A client asked me recently for a quick but "as optimized as possible" separation for some monoclonal antibody (MAb) characterization (digest) samples using LC-MS. The samples had been prepared and were awaiting analysis-typical forward planning! Actually his internal analytical department had changed their priority and he was left hanging.

Proper implementation is key to the performance of your SPE analyses. Look out for the common mistakes explained here.

An excerpt from LCGC’s e-learning tutorial on solid-phase extraction at CHROMacademy.com

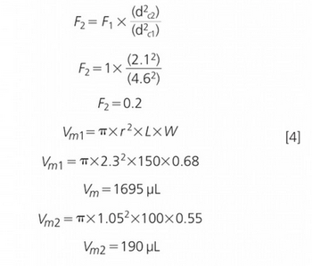
Useful equations to improve the robustness of your separations.

Improve your headspace sampling methods through a deeper understanding of the effects of key method parameters

When was the last time you reported your results with an estimate of the error associated with the data? You don’t need to because your method is performing within the levels defined by various agencies and which were confirmed by your validation and your daily QC checks. The person for whom you are producing the data is aware of these tolerances and therefore inherently appreciates the associated precision of the data and can make judgements based on this. Not in the world I work in!

An excerpt from LCGC’s e-learning tutorial on high performance liquid chromatography (HPLC) methods for biomolecule analysis at CHROMacademy.com

Gain an invaluable insight into the key methods that are used for biomolecule characterization, process control, and release testing

If you use SPE in your work, then most likely it’s very important to the success of your applications and it’s proper implementation will be key to the performance of your analyses. However, SPE protocols are “variable in quality” (I’ve been as I kind as I can there!) and this variability appears to come from some common issues, misunderstandings and, frankly, ignorance of the mechanisms which are in play.

LCGC Blogger Tony Taylor presents his eight steps for improving your solid-phase extraction (SPE) results.

Here, we concentrate on one particularly useful equation that allows us to make changes to an analytical system to improve throughput or efficiency, while retaining the selectivity of the original method.

An excerpt from LCGC’s e-learning tutorial on gradient HPLC at CHROMacademy.com

Once you have mastered the terminology and symbology the actual mathematics for the models and approaches used at the level which is useful to practicing analytical chemists is really very straightforward indeed.

Temperature affects not only retention but also relative retention in gas chromatography (GC) and therefore, when we change temperature, we also change the selectivity of the separation. This is true as we alter the isothermal separation temperature, but also as we change the slope of the temperature program gradient.

LCGC blogger Tony Taylor describes how to easily transfer column dimensions and particle morphology using three equations.

I got into a discussion with a learned colleague recently regarding the relationship between peak height and flow rate in gradient HPLC. We haven't really resolved the discussion, there are suggestions regarding "peak focussing," the number of column volumes in relation to the gradient volume (number of column volumes per minute), increases in efficiency etc.

All sample preparation adds the potential for error to the analytical protocol, so choosing less-complicated techniques will help to reduce inherent error.