
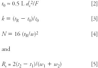
When you look at the manufacturer's literature or examine the performance sheet included with a new column, you'll see a list of column specifications, including the column plate number N. For a 5-?m particle size, column N generally will be 80,000 plates/m or more, whereas a 3-?m column will exhibit 100,000 or more theoretical plates. Your first response might be, "Get real!" After all, when real samples are analyzed on typical liquid chromatographic (LC) systems, rarely do we observe plate numbers anywhere near the manufacturer's claim.






