
The paralytic shellfish toxins are a group of 18 secondary metabolites deposited in bivalve mollusks by dinoflagelates. Dinoflagelate blooms are seasonal, occurring during warm months.

The paralytic shellfish toxins are a group of 18 secondary metabolites deposited in bivalve mollusks by dinoflagelates. Dinoflagelate blooms are seasonal, occurring during warm months.

A new widepore core-shell HPLC–UHPLC column (aeris WIDEPORE) has been introduced that is specifically designed to improve protein separations.

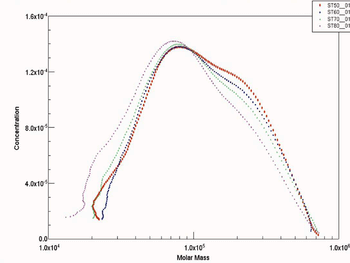
Agarose is a polysaccharide produced from seaweed that forms a gel at room temperature. The characteristics of agarose gels depend on the agarose concentration, solvent, weight-average molar mass, and molar mass distribution.

For the analysis of biotherapeutics, size-exclusion and ion-exchange chromatography are typically conducted under native separation conditions, requiring high ionic strength, 100% aqueous eluents.

Saccharides are fundamental substances that express various bioactivities and may exist independently or form complexes with proteins or lipids.

In this application, we present the feasibility of NH2P-50 4E, polymer-based amino HILIC column, for the structure analysis of N-glycans in biological samples. Characterization of glycan is important since different biological properties of glycoprotein play unique roles on pharmacokinetics, stability, and antigenicity.

Agarose is a polysaccharide produced from seaweed that forms a gel at room temperature. The characteristics of agarose gels depend on the agarose concentration, solvent, weight-average molar mass, and molar mass distribution. Powdered agarose, or agarose gel, needs to be heated in order to dissolve properly. Reheating a sample as well as other processing steps can change the agarose gel characteristics. This note describes the characterization of agarose by size-exclusion chromatography (SEC) and multi-angle light scattering (MALS) at an elevated temperature.

HPLC analysis of polar ionic compounds, such as catecholamines and siRNA, can be challenging due to the nature of their structures. Small polar compounds like catecholamines can be diffcult to retain and siRNA can be difficult to elute in reverse phase mode. The Scherzo Family of HPLC columns (SS-C18, SM-C18, and SW-C18) can overcome these challenges.

At the 2011 Pittsburgh Conference, Tosoh Corporation introduced a new line of high efficiency columns for the analysis of water-soluble polymers by gel filtration chromatography.

A new, simple, and sensitive sample preparation application for the extraction of a range of steroid hormones from human plasma at significantly low levels using ISOLUTE SLE+, an efficient alternative to traditional liquid-liquid extraction (LLE) for bioanalytical sample preparation, providing high analyte recoveries, no emulsion formation, and significantly reduced sample preparation time.

The quantification of derivatized amino acids by (U)HPLC with UV detection is one of the most widely used methods to date. Unfortunately, separation and detection of underivatized amino acids is difficult, as many of them are similar in structure, and few possess adequate chromophores.

Gel filtration chromatography is the primary method used to analyze the amount of aggregate and dimer present in a therapeutic protein sample. A BioSep 2000 column is used to analyze EPO samples to determine difference in the amounts of aggregate present.

Phospholipids are important compounds for the formation of bilayer membranes in biological systems.

The demand for faster throughput in LC–MS drug discovery labs has increased throughout the years.

BioPharma Compass is a fully automated solution for the rapid characterization of biopharmaceutical products such as proteins, peptides, RNA, and DNA.

An analytical method for the rapid determination of 25-OH vitamin D2 and 25-OH vitamin D3 in serum, which will speed diagnosis of potential Vitamin D deficiencies, is described.

Gelatin is the denatured form of collagen, the main component of skin, bone, and connective tissues of animals.

Saccharides are fundamental substances that express various bioactivities and may exist independently or form complexes with proteins or lipids.

Rapid Resolution High Definition (RRHD) columns, used on UHPLC instruments, provide significant productivity enhancements because they are stable to 1200 bar and can withstand higher flow rates.

New efficient, effective, and sensitive sample preparation application for the extraction of ethyl glucuronide from human urine at significantly low levels using EVOLUTE AX; a resin-based mixed-mode sorbent with an optimised combination of nonpolar (hydrophobic), polar (hydrophilic), and strong anion exchange interactions.

Polysaccharides are often separated using SEC columns. However, SEC columns do have limitations, specifically: poor column efficiency or peak shape.

Viruses are packets of infectious nucleic acid (either DNA or RNA) surrounded by a protective coat consisting of a large number of protein subunits.

Protein-based pharmaceutical drugs, such as fusion proteins and monoclonal antibodies (mAb), are playing an increasing role in modern therapeutics.

The new MAbPacTM SCX-10 column is based on 10 µm nonporous, highly cross-linked styrene-type polymeric media with a proprietary uniform hydrophilic coating that is grafted with sulfonic acid functional groups.

Chemical modification of therapeutic proteins in order to enhance their biological activity is of increasing interest.

Hydroxyethylstarches (HES) are used increasingly as plasma expanders in medical applications.

Levoglucosan is a combustion product of cellulose and, as such, widely used as a unique tracer for biomass burning sources in atmospheric aerosols.

Gel filtration chromatography is the primary method used to analyze the amount of aggregate and dimer present in a therapeutic protein sample.

Fast, flexible platforms for peptide quantification are needed, particularly for a discovery setting.

The new MAbPacTM size exclusion (SEC) column is based on high-purity, spherical, porous (300 Å), 5 µm silica covalently modified with a proprietary diol hydrophilic layer.