
Liquid Chromatography (LC/HPLC)
Latest News


In this month’s column, John Dolan addresses a reader’s peak-splitting problem and suggests ways to avoid such occurrences in the future.

When is it time to throw in the towel?

This month's installment of "Column Watch" is the conclusion of a two-part series in which Ron Majors examines the trends in column introductions at Pittcon 2005. Here, he discusses gas chromatography columns, sample preparation products, hardware, and accessories.

In this article, Jo Webber tackles the problem of ensuring data integrity in pharmaceutical manufacturing. She shows how, by using modern technology and well integrated systems, quality can be improved.

Co-occurrence of several mycotoxins (deoxynivalenol, zearalenone, T-2-toxin, HT-2 toxin) produced by field fungi, such as Fusarium graminearum and Fusarium culmorum, requires several analysis methods for their characterization. A reliable method for the determination of type A- and B-trichothecenes and zearalenone in cereal-based samples is presented. To achieve optimal mass spectrometric detection, electrospray ionization (ESI) and atmospheric pressure chemical ionization (APCI) were compared. Best results were obtained with ESI by implementing a two-period switching for the ionization polarity. The limit of quantification differs for each individual substance within the range 1–10 ppb. Mean recoveries using a standardized clean-up procedure were in the 54–93% range.

In the first part of this series, the authors look at method modification from a scientific and regulatory standpoint with regard to changing a column and the operating parameters.

The authors explain how to construct box plots and how they can help you to learn more about your data.

The authors discuss a solid-phase extraction (SPE) clean-up procedure for drugs present in biofluids.

LC-MS monitoring of the drug clozapine is detailed along with a description of the overall system architecture, workflow, and maintenance routines that spport a large-scale drug monitoring program.

Protease inhibitors are a class of anti-HIV drugs used in combination therapy to block replication of the HIV virus in a person's blood. It is important to monitor the levels of these drugs in the patient since resistance can develop at low levels and at high levels the drug can exhibit toxic effects.

Mini application notes summaries

In this article, the authors look at the contemporary features of a UV detector and the design improvements that have been made over the last 30 years. Recommendations concerning technical details are also given that may influence the choice in purchase.

John Dolan concentrates on the impact plumbing can have on column performance and offers his advice on tubing selection.

Case studies are good ways to look at specific examples of common liquid chromatography (LC) problems and to draw general conclusions that can be applied to prevent similar problems from happening for other workers. The example in this month's installment of "LC Troubleshooting" comes from a reader who works in the pharmaceutical industry. The sample is a cold-cough syrup analyzed with an ion-pairing LC method. I have disguised the details somewhat to protect the proprietary nature of the method, but there should be sufficient information to help us gain some knowledge of the peak-splitting problem experienced by the user.

Pittcon 2005 - the 56th Pittsburgh Conference on Analytical Chemistry and Applied Spectroscopy - returned to the Orange County Convention Center, Orlando, Florida, 27 February-4 March 2005. This year's event hosted more than 900 instrument manufacturers and 1aboratory suppliers in more than 2300 booths. In addition to attending the exposition, the conferees were able to listen to numerous oral presentations, view more than 900 posters, check out 38 seminar rooms, or attend one of 150 short courses.

It is hypothesized that in particular cases, conventional planar chromatography provides a more effective and robust system than column chromatography with regard to separation efficiency and peak distribution of mixtures composed of low-retarded analytes. Under similar reversed-phase experimental conditions, a regular distribution of thin-layer chromatography (TLC) spots of four natural estrogens (estetrol, estriol, 17?-estradiol, and estrone) corresponds to strong irregular dispersion of peaks in chromatograms generated by high performance liquid chromatography. In both cases, the efficiency of separation was assessed using simple optimization criteria such as selectivity (?min) and resolution (Rs min). The distribution of chromatographic spots was evaluated using the relative resolution product (r). The results revealed that an excellent separation of the components of interest could be achieved easily using simple nonforced and isocratic TLC. Such an interesting property of planar chromatography is mainly driven by the nonlinear relationship between k and Rf retention factors. This article also reports the practical advantages of TLC for the separation of estrogenic steroid mixtures at different temperatures.

In this month's installment of "Directions in Discovery," the authors discuss how, with the arrival of combinatorial libraries and high-throughput screening, pharmaceutical firms can develop new models of drug discovery that not only lessen the initial capital outlay involved in drug discovery, but also refine the discovery process.

This month, John Dolan underlines the importance of building safety factors into laboratory methods so that costly and frustrating problems that can arise during routine operation can be avoided.

A simple HPLC procedure is described for the determination of bendroflumethiazide (BMFT) in pharmaceutical formulations and urine samples. No interferences from common additives or other drugs frequently administered with BMFT or from endogenous compounds in urine samples were found. The lack of an organic solvent in the mobile phase reduces the risk of environmental contamination and human toxicity.

The authors discuss the issue of meeting the demands of regulatory compliance whilst ensuring good scientific practice. A number of requirements from 21 CFR Part 11 are cited to demonstrate the importance of applying the principles of risk analysis.

When a column is replaced with a new or "equivalent" column, sometimes the chromatogram can change so much that it is no longer suitable for its intended use. In such cases, method adjustment is necessary to correct the change. How much can the chromatographic variables be changed before revalidation is required? What do the regulatory agencies have to say about method adjustment? The authors discuss these issues and propose a technique that can be used to speed selection of new operating conditions.

A new detection method based upon aerosol charging was examined for its applicability and performance with high performance liquid chromatography (HPLC). Our results demonstrate universal detection of nonvolatile analytes with response magnitude that is independent of analyte chemical properties, four orders of magnitude dynamic range, low nanogram, lower limits of detection, and < 2% relative standard deviation response variability. Broad applicability was demonstrated for a range of methods including those using gradient elution, reversed phase, hydrophilic interaction, and ion chromatography; normal and narrow bore column formats; and in combination with other detectors (for example, UV detectors, evaporative light-scattering detectors, and mass spectrometers).

Formic acid often is used for the analysis of peptides in proteomic studies by HPLC-MS, due to its volatility and reduced signal suppression. However, poorer chromatographic performance can be obtained in comparison with trifluoroacetic acid or nonvolatile phosphate buffers due to increased overloading, which can occur even for extremely small sample masses. Comparison of a highly inert silica-ODS and a wholly polymeric phase indicated that overloading effects on both are very similar and caused by the mutual repulsion of solute ions on the hydrophobic column surface.

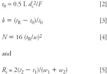
When you look at the manufacturer's literature or examine the performance sheet included with a new column, you'll see a list of column specifications, including the column plate number N. For a 5-?m particle size, column N generally will be 80,000 plates/m or more, whereas a 3-?m column will exhibit 100,000 or more theoretical plates. Your first response might be, "Get real!" After all, when real samples are analyzed on typical liquid chromatographic (LC) systems, rarely do we observe plate numbers anywhere near the manufacturer's claim.

