
Pesticides in Cannabis sativa matrix were analyzed using the SRM capabilities of the JEOL JMS-TQ4000GC gas chromatograph triple-quadrupole mass spectrometer.

Pesticides in Cannabis sativa matrix were analyzed using the SRM capabilities of the JEOL JMS-TQ4000GC gas chromatograph triple-quadrupole mass spectrometer.

Quantitative analysis of residual agricultural chemicals in carrot extract was undertaken using a JEOL JMS-TQ4000GC.

Quantitative analysis of residual agricultural chemicals in spinach extract was undertaken using a JEOL JMS-TQ4000GC.

Preventing aerosol contamination during pipetting helps you achieve reliable results. Here we address the main contamination mechanisms that need to be avoided.

Reveal more veterinary drugs in Food. Use the QSight LC–MS/MS to get a fast, selective, and sensitive method for the determination of sulfonamide antibiotics in milk.

Synthetically derived food and beverage dye analysis to meet regulatory requirements aimed at reducing the risk of allergies, cancers, and attention deficits.

The ALEXYS carbohydrates analyzer is a robust and reliable solution for the analysis of carbohydrates in apple juice, buttermilk, malt beer, and artificial sweeteners.


Analyzing crops for beneficial and harmful compounds is an indispensable tool for assessing the viability of various agricultural crops for consumption.

Key bourbon odorants with flavor dilution factor 201 found by solventless extraction and GC–MS/O-Aroma Dilution Analysis. Data analysis and AEDA-like reporting is shown.

Production of ethanol from biological sources produces side products, specifically propanol and methanol among other ketones, fatty acids, and esters.

This application note summarizes a validated procedure developed by the US Food and Drug Administration (FDA) for the measurement of 16 PFASs in food using a QuEChERS sample preparation approach.

This application note summarizes a validated procedure developed by the US Food and Drug Administration (FDA) for the measurement of 16 PFASs in food using a QuEChERS sample preparation approach.

This application note presents a novel study of coffee aroma profiling by analyzing volatile organic compounds (VOCs) emitted at a series of progressively higher temperatures.

In this application note we discuss the AcquireX workflow using the Orbitrap ID-X for detection and quantitation in non-targeted, multiresidue LC–MS pesticide profiling.

The Column spoke to Carlos Calderón about his research project, investigating pharmacolipidomics analysis of betulin in human primary keratinocytes to monitor alterations in the lipid profiles induced by treatment with betulin.

Incognito offers some tips for chromatographers during the current crisis


Reveal more in your food. Using QSight LC–MS/MS to get a fast, selective, and sensitive multi-residue method for the determination of 136 pesticides in pepper.


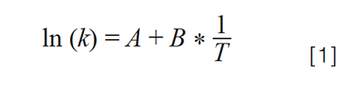
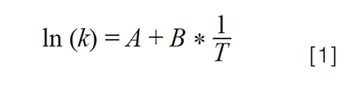
In reversed-phase liquid chromatography, increasing the column temperature usually results in a decrease in analyte retention. Will this cause problems if a method does not call for control of the column temperature but the room temperature of the laboratory environment changes?

The Zebron ZB-PAH-EU and ZB-PAH-SeleCT offer unparalleled performance of targeted selectivity for PAHs in food, environmental, electronics, and fuel industries.

We look at the fast and accurate GC–MS analysis of polycyclic aromatic hydrocarbon (PAHs) in rubber and plastic using a Zebron™ ZB-PAH-EU GC column.

We look at the Zebron ZB-624plus, the optimal choice for the analysis of volatile compounds for environmental, pharmaceutical, food, cannabis, and specialty chemicals.

In this application, we look at the determination of residual solvents and terpenes in cannabis by GC–FID using the Zebron™ ZB-624plus™ GC column.

Incognito observes some unexpected emerging trends at Pittcon 2020.

Automated profiling of gin botanicals by HS-SPME Arrow-GCxGC-MSD/FID is demonstrated using the CTC PAL RTC, Agilent 7890B GC with reverse-flow modulator and 5977B MSD.

Mobile phase flow is critically important, and must be carefully controlled. In this instalment of “GC Connections”, we discuss carrier gas flow and its importance in successful gas chromatographic (GC) analysis. We will begin with a short review of fundamental theories showing why flow is important, and move into a discussion of how flow rate is measured and controlled on modern instruments. Finally, we will discuss the effect of flow-related parameters, including carrier gas choice, the difference between constant pressure and constant flow modes, and some new thinking about flow rate optimization. We conclude with some takeaways that should assist gas chromatographers with effective carrier gas management.

Pesticides are widely used to protect agricultural products from mould or insect infestation during growth, storage, and product transport. Intensive use or abuse of pesticides can cause environmental pollution in different areas. Lakes, rivers, and aquifers need to be monitored to protect drinking water. Concentration levels of pesticides down to low fg/μL range must therefore be quantified in organic solvent-based water extracts. Typically, large volume injections (LVI) are used to reach this concentration range.

Amylose is an occasionally branched biopolymer and, together with amylopectin, the hyper-branched component, a constituent of starch. Determination of branching in amylopectin, an important property affecting viscosity, stiffness, and thermo-mechanical performance, requires a fully linear amylose analogue. This application note describes how synthetic amyloses from enzymatic (phosphorolytic) reaction were checked for their linearity using size-exclusion chromatography-multi-angle light scattering (SEC-MALS).